Hi! I'm Diego.

I'm an AI researcher. My goal is to create intelligent systems that can understand their environment and predict the outcomes of their actions to make informed decisions.

The future is exciting!

Diego Martí

Publications

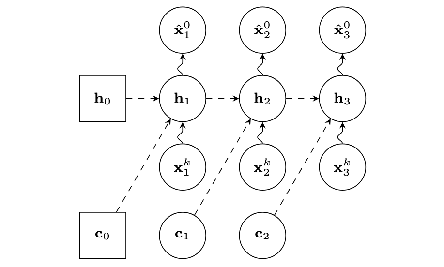
Diffusion Forcing: Next-token Prediction Meets Full-Sequence Diffusion

Diffusion Forcing: Next-token Prediction Meets Full-Sequence Diffusion

Boyuan Chen, Diego Marti Monso, Yilun Du, Max Simchowitz, Russ Tedrake, Vincent Sitzmann
NeurIPS 2024

Projects

These are some projects I did that were not publication-worthy, but still interesting.

Operational 3D Mesh Synthesis with Geometric and Diffusion Priors

Operational 3D Mesh Synthesis with Geometric and Diffusion Priors

A flexible 3D generative pipeline that uses Score Distillation Sampling to optimize a parametric, production-ready mesh.
2024
An Analysis of Probabilistic Time Series Forecasting with Autoregressive Diffusion Models

An Analysis of Probabilistic Time Series Forecasting with Autoregressive Diffusion Models

A critique of autoregressive diffusion models, which are limited by their deterministic RNN state transition model and single-step objectives.
2023
Report about "Cold Diffusion: Inverting Arbitrary Image Transforms Without Noise"

Report about "Cold Diffusion: Inverting Arbitrary Image Transforms Without Noise"

A review of the paper that claims that diffusion models can revert any non-Gaussian degradation process, including deterministic degradations.
2022
Coupling Grid-based Stochastic Model Predictive Control with Recurrent Neural Networks for Occupancy Grid Prediction

Coupling Grid-based Stochastic Model Predictive Control with Recurrent Neural Networks for Occupancy Grid Prediction

Follow-up work in paper format, improving and scaling up the RNN backbone that predicts traffic motion for trajectory planning in autonomous driving.
2022
Grid-Based Stochastic Model Predictive Control with Occupancy Grids

Grid-Based Stochastic Model Predictive Control with Occupancy Grids

An RNN to predict the future of discretized traffic environments for trajectory planning with stochastic MPC.
2021